官网首页
关于我们
政策解读
服务项目
报名中心
联系我们
政策解读
招生资讯
学校新闻
通知公告
下载中心
通知公告
返回上一级>>
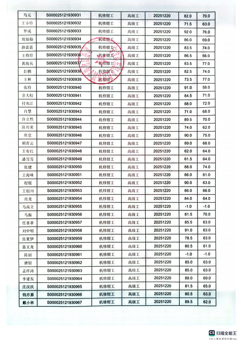
12月20日职业技能等级认定机修钳工高级成绩公示(北仑)
2025-12-22
上一个:12月21日职业技能等级认定机修钳工高级成绩公示(北仑)
下一个:12月21日职业技能等级认定机修钳工高级成绩公示
下载中心
政策解读
联系我们
宁波鄞东职业培训学校
电话:0574-86863265
邮箱:
jinchengschool@163.com
地址:宁波市北仑区大港三路55号四楼
服务项目